上海滬工閥門廠(集團)有限公司
摘要:介紹圓盤雙金屬片式蒸汽疏水閥的結構和工作原理,分析了閥芯的受力,主要對雙金屬片的力的公式進行推導,針對不同的設計工況,尋求較合理的雙金屬片組合片數,為產品設計提供理論依據。
關健詞:圓盤;雙金屬片;蒸汽疏水閥
一 概述
蒸汽作為重要的二次能源,在眾多工業領域得到廣泛應用。蒸汽系統消耗煤占產量的 1/3,已成為能源消耗的重要領域。蒸汽疏水閥則是保障蒸汽系統正常工作、凝結水回收利用、節約能源的重要自力式控制類閥門。常見的蒸汽疏水閥根據原理可分為機械型、熱靜力型和熱動力型。熱靜力型疏水閥實質上是一種自力式溫度控制閥,可以通過調節排放一定的過冷和過熱度的凝結水與蒸汽,節能效果顯著,在不同場合得到應用。
雙金屬型疏水閥是上世紀五十年代中期興起的,目前仍然是世界范圍內熱靜力型疏水閥的最主要產品。它是利用兩種溫度膨脹系數相差很大的雙金屬組件作為閥門的熱動力元件,雙金屬組件根據蒸汽系統溫度和壓力的不同,可在不同介質溫度中產生不同的變形并產生推力(或拉力),控制閥芯的開、閉,起到阻汽排水作用。利用該基本原理,不同廠家開發了形形色色的雙金屬片組件,常見的有圓盤型、懸臂梁型、簡支梁型、星型等。本文主要探討了圓盤型雙金屬片式蒸汽疏水閥雙金屬片組件針對不同工況的設計問題,以期為雙金屬片式蒸汽疏水閥的設計與開發提供理論依據和參考。
二 結構與工作原理
以 TB 可調溫型為例說明:圓盤雙金屬片式蒸汽疏水閥結構主要由閥體、雙金屬片組件、調節組件、SCCV 組件組成。常溫下,雙金屬片呈平展狀態,閥門開啟,低溫凝結水和空氣迅速排放出去,如圖 1 所示。當閥內溫度升高時,閥芯在雙金屬片變形力的作用下向下移動,排水量減小。閥內溫度更高時,雙金屬片變形加劇,迫使閥芯下移關閉,如圖 1(右)所示。閥內溫度降低后,雙金屬片變為平展狀態,在彈力的作用下,閥芯開啟排水,回到常溫狀態。

圖 1 一種圓盤雙金屬式疏水閥的結構
調節組件可以通過旋轉調節螺母來調節雙金屬片組件的初始位移,調節排水溫度。
三 雙金屬組件熱動力元件受力分析
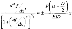
2.1 建立熱推力 F 與撓度 f 的數學模型
首先假設:(1)把雙金屬片看成一剛性簡支梁;(2)忽略變形對其剪力的影響(則用中性層曲率表示的彎曲變形公式也可用于一般非純彎曲)。

圖 2
則如圖 2 所示雙金屬片產生了一定的彎曲變形,設中心處垂直方向上的變形量為 f,任一點 x 處的彎矩與撓度的關系為:

式中:
D——雙金屬片內徑(m);
E——雙金屬片彈性模量(Pa);
l——雙金屬片截面的極慣性鉅(m4);
F——一片雙金屬片產生的熱推力(N);
f——雙金屬片中心處垂直方向上的變形量(m);
x——雙金屬片上任一點到其邊緣的距離(m)。
由于 df/dx 的值遠小于 1,略去后積分并令:
![]()
由于本研究的是如圖 3 所示的環形雙金屬片,則:
![]()

圖 3
2.2 計算熱推力
又有關系式:

則:一組金屬片的熱推力為:
![]()
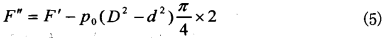
除去凝結水作用在金屬片上的壓力后的熱推力為:
![]()
則:n 組金屬片的熱推力:

式中:
P0——進口壓力(Pa);
k——比彎曲(℃-1);
T——雙金屬片變形后的溫度(℃);
T0——雙金屬片開始變形時的溫度(℃);
n——雙金屬片組的個數。
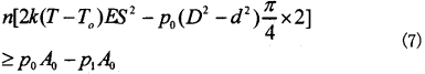
2.3 雙金屬片導閥所需動作平衡力
閉閥后,閥內部力的平衡方程式如下:
F1≥F2-F3
即:

式中:
F2——閥瓣關閉后其閥孔前的力(N);
F3——閥瓣關閉后其閥孔后的力(N);
n——雙金屬片組的個數;
P1——閥瓣關閉后其閥后壓力(Pa);
A0——閥座孔截面積(m2)。
2.4 密封比壓 q 的選擇
密封比壓的計算:

式中:
QMZ——閥座密封面上的總作用力(N);
dm——閥座密封面內徑(m);
bm——閥座密封面寬度(m);
q——密封比壓(Pa);
q——許用密封比壓(Pa)。
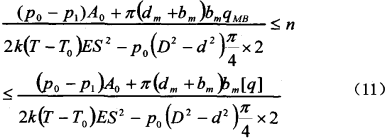
2.5 雙金屬片組片數 n 的確定
結合(7)、(8)、(9)和(10)式,得:

四 結論
當溫差、熱推力不變時,可以通過改變雙金屬片的幾何參數 D、d、S 或者在雙金屬片的形狀確定后通過選用不同材料來達到不同的設計對單片雙金屬片的要求。當所需平衡動作力較大時,通過疊加雙金屬片來實現。
本文的推導與論述,以期為圓盤型雙金屬型疏水閥關鍵部件——雙金屬組件設計提供一定的依據,以及給其它型式雙金屬疏水閥的開發提供參考。